Alçak Gerilim Şebekelerinde Reaktif Güç ve Kompanzasyon Nedir? | Detaylı Rehber
Elektrik sistemlerinin verimliliğini artırmak ve enerji maliyetlerini düşürmek için reaktif güç ve kompanzasyon kavramlarını doğru anlamak şarttır. Bu yazımızda; reaktif güç nedir, alçak gerilim şebekelerinde ne gibi etkileri vardır, nasıl hesaplanır ve kompanzasyon ile nasıl iyileştirilir gibi konuları adım adım inceleyeceğiz. Ayrıca, örnek bir hesaplama üzerinden kompanzasyon gereksinimini göstereceğiz.
- Reaktif Güç Nedir?
Reaktif güç (Q), alternatif akım (AC) sistemlerinde manyetik alan oluşturmak için gereken fakat doğrudan iş yapmayan bir güç bileşenidir. Özellikle alçak gerilim şebekelerinde motorlar, transformatörler, floresan balastları gibi indüktif yükler tarafından tüketilir.
Reaktif güç, toplam görünür gücün (S) bir parçasıdır ve birimi Volt-Amper-Reaktif (VAR) olarak ifade edilir. Sisteme çekilen bu güç, aktif enerjiye dönüşmeden sisteme geri verilir.
- Aktif Güç (P): İş yapan gerçek güç (Watt)
- Reaktif Güç (Q): Manyetik alan için gerekli güç (VAR)
- Görünür Güç (S): P ve Q’nun bileşimi (VA)
- Alçak Gerilim Şebekelerinde Reaktif Gücün Etkisi
Alçak gerilim şebekeleri (0-1000 V arası) reaktif güç yüklerinden doğrudan etkilenir. Reaktif gücün fazla olması aşağıdaki sorunlara yol açabilir:
- Kablolarda aşırı ısınma
- Enerji iletiminde kayıplar
- Transformatörlerin kapasite sınırlarının aşılması
- Elektrik faturasında reaktif ceza riskinin artması
Bu nedenle sistemdeki güç faktörü (cos φ) izlenmeli ve uygun kompanzasyon sistemleri ile reaktif güç kontrol altına alınmalıdır. Güç faktörünün 1’e yakın olması, sistemin daha verimli çalıştığını gösterir.
Trifaze Sistemlerde Reaktif Güç Hesabı ve Kompanzasyon Örneği
- Trifaze Sistemlerde Reaktif Güç Hesabı (Örnek)
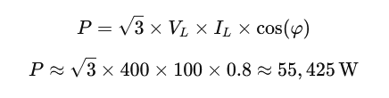
Bir işletmede ölçülen veriler:
- Hat gerilimi (VL): 400 V
- Hat akımı (IL): 100 A
- Güç faktörü (cos φ): 0.80
Aktif Güç (P) Hesabı:

Reaktif Güç (Q) Hesabı:

Bu sistem yaklaşık 40 kVAr reaktif güç çekmektedir.
- Kompanzasyon Hesabı (Örnek)
Amaç: Güç faktörünü 0.80′ en 0.95’e yükseltmek.
Gerekli kompanzasyon gücü:

Sonuç olarak bu sistemde yaklaşık 25 kVAr kapasitif yük eklenerek kompanzasyon yapılmalıdır. Bu, kondansatör bankları ile sağlanabilir.
Alçak gerilim şebekelerinde reaktif gücün kontrol altına alınması; hem enerji maliyetlerini düşürmek hem de sistemin sağlıklı çalışmasını sağlamak açısından kritik öneme sahiptir. Reaktif güç tüketimi düzenli olarak izlenmeli ve kompanzasyon sistemleri periyodik olarak bakım görmelidir.


